1. 0과 1로 숫자를 표현하는 방법
컴퓨터는 0과 1로 모든 정보를 표현하고, 0과 1로 표현된 정보만을 이해할 수 있습니다.
- 그러면
3+4는 어떻게 계산될까? - 또 컴퓨터는 숫자 3과 4를 어떻게 인식할까?
1.1 정보 단위
1.1.1 비트
비트(bit): 0과 1을 나타내는 가장 작은 정보 단위- e.g. 비트는 전구에 빗대어 생각해 보면 이해하기 쉬움
- 전구 한 개로 (꺼짐) 혹은 (켜짐), 2가지 상태를 표현할 수 있듯,
- 1 비트는 0 또는 1, 두 가지 정보를 표현 가능

두 개의 전구- (꺼짐, 꺼짐), (꺼짐, 켜짐), (켜짐, 꺼짐), (켜짐, 켜짐), 4가지 상태를 표현
- 따라서 2비트는 4가지 정보를 표현
세 개의 전구- 8가지 상태를 표현할 수 있습니다.
- 따라서 3비트는 8가지 정보를 표현
n개의 전구로 표현할 수 있는 상태는 가지입니다. 같은 개념으로 n비트는 가지 정보를 표현할 수 있습니다.
1.1.2 다른 단위
웹 브라우저, 워드 프로세서, 포토샵 등 모든 프로그램은 수십만, 수백만 개 이상의 0과 1로 이루어져 있습니다. 즉, 우리가 실행하는 프로그램은 수십만 비트, 수백만 비트로 이루어져 있죠.
그런데 우리가 일상적으로 프로그램의 크기를 말할 때는 표현의 편의를 위해 비트보다 큰 단위를 사용합니다.
1 바이트(byte): 여덟 개의 비트를 묶은 단위로, 비트보다 한 단계 큰 단위- 하나의 바이트가 표현할 수 있는 정보는 몇 개일까요?
- 1바이트는 8비트와 같으니 (256)개의 정보를 표현 가능
1킬로바이트(kB; kilobyte): 1바이트 1,000개를 묶은 단위1메가바이트(MB; megabyte): 킬로바이트 1,000개를 묶은 단위1기가바이트(GB; gigabyte): 1메가바이트 1,000개를 묶은 단위를1테라바이트(TB; terabyte): 1기가바이트 1,000개를 묶은 단위- 테라바이트보다 더 큰 단위도 있으나 보통 다루게 될 데이터의 크기는 최대 테라바이트까지인 경우가 많음
| 단위 | 크기 |
|---|---|
| 1바이트 | 8 비트(8 bit) |
| 1킬로바이트 | 1,000 바이트 (1,000 byte) |
| 1메가바이트 | 1,000 킬로바이트(1,000 KB) |
| 1기가바이트 | 1,000 메가바이트(1,000 MB) |
| 1테라바이트 | 1,000 기가바이트 (1,000 GB) |
💡 참고
1kB는 1,024byte, 1MB는 1,024kB… 이런 식으로 표현하는 것은 잘못된 관습입니다. 이전 단위를 1,024개 묶어 표현한 단위는 kB, MB, GB, TB가 아닌 KiB, MiB, GiB, TiB입니다.
💡 워드(word)
워드: CPU가 한 번에 처리할 수 있는 데이터 크기- CPU가
- 한 번에 16비트를 처리할 수 있다면 1워드는 16비트가 되고,
- 한 번에 32비트를 처리할 수 있다면 1워드는 32비트가 됨
- 워드의 크기에 따라
하프 워드(half word): 정의된 워드의 절반 크기풀 워드(full word): 정의된 워드의 1배 크기더블 워드(double word): 정의된 워드의 2베 크기- 워드 크기가 큰 CPU는 한 번에 처리할 수 있는 데이터가 큼
- 워드 크기는 CPU마다 다르지만, 현대 컴퓨터의 워드 크기는 대부분 32비트 또는 64비트입니다.
- e.g. 가령 인텔의 x86 CPU는 32비트 워드 CPU, x64 CPU 는 64비트 워드 CPU입니다.
1.2 2진법
수학에서 0과 1만으로 모든 숫자를 표현하는 방법을 2진법(binary)이라고 합니다.
2진법을 이용하면 1보다 큰 수도 0과 1만으로 표현할 수 있습니다.
바로 숫자가 1을 넘어가는 시점에 자리 올림을 하면 됩니다.
사람은 숫자를 셀 때 9를 넘어가는 시점에 자리 올림을 합니다 9 다음이 10 처럼요.
이는 우리가 10진법(decimal)을 사용하기 때문입니다.
10진법은 숫자가 9를 넘어가는 시점에 자리 올림을 하여 0부터 9까지, 열 개의 숫자만으로 모든 수를 표현하는 방법입니다.
이와 유사하게 2진법은 숫자가 1을 넘어가는 시점에 자리 올림을 하여 2개의 숫자만으로 모든 수를 표현합니다.

가령, 10진수 2를 컴퓨터에 알려주려면?
- 2 (10진수)
- 10 (2진수, ‘일영’)
10진수 8을 컴퓨터에 알려 주려면?
- 8 (10진수)
- 1000 (2진수, ‘일영영영’)
그런데 여기서 문제가 있습니다. 숫자 10만 보고 이게 10진수인지 2진수인지 구분이 안됩니다. 숫자 10을 10진수로 읽으면 10이지만, 2진수로 읽으면 2입니다. 이처럼 숫자만으로는 어떤 진법으로 표현된 수인지 알 수 없습니다.

이런 혼동을 예방하기 위해 2진수 끝에 아래첨자를 붙이거나, 2진수 앞에 0b를 붙입니다. 전자는 주로 2진수를 수학적으로 표기할 때, 후자는 주로 코드 상에서 2진수를 표기할 때 사용합니다.
| 10진법 | 2진법 |
|---|---|
| 10진법으로 표현한 수 | 2진법으로 표현한 수 |
| 사람이 사용하는 숫자 표현법 | 컴퓨터가 사용하는 숫자 표현법 |
수학에서는 아래첨자로 (2) | |
코드상에서는 ob |
1.2.1 2진수의 음수 표현
사람이 쓰는 10진수는 음수를 표현할 땐, -1, -3, -5 같이 단순히 숫자 앞에 마이너스 부호를 붙임
컴퓨터는 0과 1만 이해할 수 있기 때문에, 마이너스 부호를 사용하지 않고 0과 1만으로 음수를 표현해야 합니다.

2의 보수(two’s complement)- 0과 1만으로 음수를 표현하는 방법 중 가장 널리 사용되는 방법
- 2의 보수를 구해 이 값을 음수로 간주하는 방법
- 사전적 의미는 “어떤 수를 그보다 큰 에서 뺀 값“을 의미
- e.g.
0b11의 2의 보수는0b11보다 큰- 즉,
0b100에서0b11을 뺀0b01이 됨
하지만 굳이 이렇게 사전적 의미로 어렵게 이해할 필요는 없습니다.

2의 보수를 매우 쉽게 표현하면- 모든 0과 1을 뒤집고, 거기에 1을 더한 값
- e.g.
0b11의 모든 0과 1을 뒤집으면Ob00이고, - 거기에 1을 더한 값은
0b01입니다. 즉,0b11의 **2의 보수(음수 표현)**는0b01

0b1011의 음수를 구해봅시다.
-
1011에서 모든 0과 1을 뒤집으면0100이고, 여기에 1을 더한 값은0101- 즉,
0101은1011의 음수입니다.
- 즉,
-
정말 이 값이 1011의 음수인지 확인하려면?
-
어떤 수의 음수를 두 번 구하면 처음의 그 수가 됩니다.
- e.g.
-(-A) = A인 것처럼요. 2의 보수도 마찬가지입니다.
- e.g.
-
어떤 수의 2의 보수를 두 번 구해보면 자기 자신이 됩니다.
-
마찬가지로
1011의 2의 보수를 두 번 구해 보면 자기 자신인1011이 됩니다.
-
그러면,
-1011을 표현하기 위한 음수으로서의 0101과 10진수 5를 표현하기 위한 양수로서의 0101은 똑같이 생겼는데,- 2진수만 보고 이게 음수인지 양수인지 어떻게 구분할까요?
- 실제로 2진수만 봐서는 이게 음수인지 양수인지 구분하기 어렵습니다.
- 그래서 컴퓨터 내부에서 어떤 수를 다룰 때는 양수인지 음수인지를 구분하기 위해
플래그(flag)를 사용합니다.- 플래그는 쉽게 말해 부가 정보
- 컴퓨터 내부에서 어떤 값을 다룰 때 부가 정보가 필요한 경우 플래그를 사용
플래그는 04장에서 자세히 다루니 지금은
- 컴퓨터 내부에서 숫자들은
‘양수’ 혹은 ‘음수’가 적혀 있는 표시를 들고 다니므로 - 컴퓨터가 부호를 헷갈릴 일은 없다 정도로만 생각해도 무방합니다.
💡 2의 보수 표현의 한계
2진법 음수를 표현하기 위해 2의 보수를 취하는 방식은 아직까지도 가장 널리 사용되는 방식이지만, 완벽한 방식은 아닙니다.
0이나 형태의 2진수에 2의 보수를 취하면, 원하는 음수값을 얻을 수 없습니다.
- 첫 번째 경우 자리 올림이 발생한 비트의 1을 버립니다.
- 하지만 두 번째 경우와 같이 의 보수를 취하면
- 자기 자신이 되어 버리는 문제는 본질적으로 해결하기 어렵습니다.
- 즉, n비트로는 -과 이라는 수를 동시에 표현할 수 없습니다.
1.3 16진법
2진법을 이용하면 컴퓨터가 이해하는 숫자 정보를 직접적으로 표현할 수 있습니다.
하지만 0과 1만으로 모든 숫자를 표현하다 보니 숫자의 길이가 너무 길어진다는 단점이 있습니다.
10진수 32를 10진수로 표현하면 0b100000과 같이 6개의 자릿수가 필요한 것처럼요.
그래서 데이터를 표현할 때 2진법 이외에 16진법도 자주 사용합니다.

16진법(hexadecimal): 수가 15를 넘어가는 시점에 자리 올림을 하는 숫자 표현 방식십진수 10, 11, 12, 13, 14, 15를 16진법 체계에서는 각각A, B, C, D, E, F로 표기- 2진수에 비해 더 적은 자릿수로 더 많은 정보를 표현할 수 있겠죠?

16진수도 2진수와 마찬가지로 숫자 뒤에 아래첨자 (16)를 붙이거나, 숫자 앞에 0x를 붙여 구분합니다.
전자는 주로 수학적으로 16진수를 표기할 때, 후자는 주로 코드상에서 16진수를 표기할 때 사용되는 방식입니다.
💡 16진수A~F를 쉽게 이해하는 방법
16진법을 처음 접했다면 16진수A가 10, 16진수B가 11을 뜻한다는 사실이 잘 와닿지 않을 겁니다. 그림처럼 손가락으로 직접 꼽아 보면 이해하기 편합니다.
‘주먹을 쥐었을 때가 A’라고 생각해 보세요. 손가락을 하나도 안 폈으니 0입니다.- 16진수D는 십진수로 무엇일까요?
- 주먹을 쥐었을 때가 A라고 했으니 A, B, C, D 차례로 손가락을 하나씩 펴면
- D는 손가락이 세 개 펴집니다.
- 따라서
16진수 D는13입니다.
그런데 왜 굳이 16진법을 사용할까요? 우리가 편하게 쓰는 십진법도 있는데 말이죠. 여러 가지 이유가 있지만, 16진법을 사용하는 주된 이유 중 하나는 2진수를 16진수로, 16진수를 2진수로 변환하기 쉽기 때문입니다.
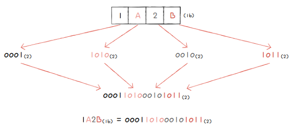
1.3.1 16진수를 2진수로 변환
16진수는 한 글자당 열여섯 종류(0~9, A~F)의 숫자를 표현할 수 있습니다.
그렇다면 16진수를 이루는 숫자 하나를 2진수로 표현하려면 몇 비트가 필요할까요?
4비트가 필요합니다. = 16이니까요.
16진수를 2진수로 변환하는 간편한 방법 중 하나는 16진수 한 글자를 4비트의 2진수로 간주하는 겁니다.

- 즉, 16진수를 이루고 있는 각 글자를 따로따로 (4개의 숫자로 구성된) 2진수로 변환하고,
- 그것들을 그대로 이어 붙이면 16진수가 2진수로 변환됩니다.
- 예를 들어, 라는 16진수가 있을 때,
- 각 숫자 를 2진수로 표현하면 0001, 1010, 0010, 1011입니다.
- 이 숫자를 그대로 이어 붙인 값, 즉 0001. 1010. 0010. 1011이 를 2진수로 표현한 값입니다.
1.3.2 2진수를 16진수로 변환

2진수를 16진수로 변환할 때는
- 2진수 숫자를 네 개씩 끊고, 끊어준 4개의 숫자를 하나의 16진수로 변환한 뒤 그대로 이어붙이면 됩니다.
- 예를 들어, 1101. 0101이라는 2진수를 4개씩 끊으면 1101, 0101이고
- 이는 각각 와 이므로 이를 그대로 이어 붙인 가 11010101를 16진수로 변환한 수입니다.
2진수를 10진수로 변환할 때는 이렇게 간단하지 않기에 2진수를 16진수로 묶어 표현하는 것입니다.
💡 코드에 16진수를 직접 넣는 사례
16진수는 프로그래밍할 때 2진수와 더불어 자주 사용되므로 기억해두는 것이 좋습니다. 하드웨어와 밀접하게 맞닿아 있는 개발 분야에서는 코드에 16진수를 직접 쓰는 경우도 있습니다.
1offset = __mem_to_opcode_arm(*(u32 *)loc);2offset = (offset & 0x00ffffff) << 2;3if (offset & 0x02000000)4offset -= 0x04000000;5offset += sym->st_value - loc;
1.4 핵심포인트
- 비트는 0과 1로 표현할 수 있는 가장 작은 정보 단위입니다.
- 바이트, 킬로바이트, 메가바이트, 기가바이트, 테라바이트는 비트보다 더 큰 정보 단위입니다.
- 2진법은 1을 넘어가는 시점에 자리 올림을 하여 0과 1만으로 수를 표현하는 방법입니다.
- 2진법에서 음수는 2의 보수로 표현할 수 있습니다.
- 16진법은 15를 넘어가는 시점에 자리 올림하여 수를 표현하는 방법입니다.
1.5 확인 문제
Q1 2000MB는 몇 GB인가요?
Q2 다음 중 옳지 않은 것을 골라 보세요.
- 1000GB는 1TB와 같습니다.
- 1000kB는 1MB와 같습니다.
- 1000MB는 1GB와 같습니다.
- 1024bit는 1byte와 같습니다.
Q3 의 음수를 2의 보수 표현법으로 구해 보세요.
- 모든 0과 1 뒤집기
- 1 더하기
Q4 를 2진수로 표현하면 무엇인가요?
Q5 2진수와 더불어 16진수가 많이 사용되는 대표적인 이유는 무엇인가요?
- 2진수와 16진수 간의 변환이 쉽기 때문입니다.
- 16진수에 비해 2진수로 표현되는 글자 수가 일반적으로 적기 때문입니다.
- 16진수가 십진수보다 일상적으로 더 많이 사용되기 때문입니다.
- 컴퓨터는 2진수를 이해하지 못하기 때문입니다.
2. 0과 1로 문자를 표현하는 방법
컴퓨터는 키보드로 입력한 문자들을 실시간으로 모니터에 띄워 줍니다. 컴퓨터는 0과 1만 이해할 수 있다고 했는데, 입력한 문자를 어떻게 이해하고 모니터에 출력하는 걸까요?
2.1 문자 집합과 인코딩
0과 1로 문자를 표현하는 방법에 대해 알아보기 전에 여러분이 반드시 알아야 할 3가지 용어가 있습니다.

문자 집합(character set)- 컴퓨터가 인식하고 표현할 수 있는 문자의 모음
- 컴퓨터는 문자 집합에 속해 있는 문자를 이해할 수 있고,
- 반대로 문자 집합에 속해 있지 않은 문자는 이해할 수 없습니다.
- e.g. 문자 집합이
{a, b, c, d, e}인 경우 컴퓨터는 5개의 문자는 이해할 수 있고, f 나 g 같은 문자는 이해하지 못함
문자 인코딩(character encoding)- 문자 집합에 속한 문자라고 해서 컴퓨터가 그대로 이해할 수 있는 건 아님
- 문자를 0과 1로 변환해야 비로소 컴퓨터가 이해
- 이 변환 과정을 문자 인코딩이라 하고 인코딩 후 0과 1로 이루어진 결과값이 문자 코드가 됨
- 같은 문자 집합에 대해서도 다양한 인코딩 방 법이 있음
문자 디코딩(character decoding)- 인코딩의 반대 과정
- 즉, 0과 1로 이루어진 문자 코드를 사람이 이해할 수 있는 문자로 변환하는 과정
2.2 아스키 코드
아스키(ASCII; American Standard Code for Information Interchange)
- 초창기 문자 집합 중 하나로, 영어 알파벳과 아라비아 숫자, 그리고 일부 특수 문자를 포함합니다.
- 아스키 문자 집합에 속한 문자(이하 아스키 문자) 들은 각각 7비트로 표현되는데,
- 7비트로 표현할 수 있는 정보의 가짓수는 27개로, 총 128개의 문자를 표현할 수 있습니다.
- 실제로는 하나의 아스키 문자를 나타내기 위해 8비트(1바이트)를 사용합니다.
- 하지만 8비트 중 1비트는
패리티 비트(parity bit)라고 불리는, 오류 검출을 위해 사용되는 비트이기 때문에 - 실질적으로 문자 표현을 위해 사용되는 비트는 7비트입니다.

위 표는 아스키 코드표입니다.
- 아스키 문자들은 0부터 127까지 총 128개의 숫자 중 하나의 고유한 수에 일대일로 대응됩니다.
- 아스키 문자에 대응된 고유한 수를
아스키 코드라고 합니다. - 아스키 코드를 2진수로 표현함으로써 아스키 문자를 0과 1로 표현할 수 있습니다.
- 아스키 문자는 이렇게 아스키 코드로 인코딩됩니다.
- e.g. ‘A’는 10진수 65로 인코딩되고, ‘a’는 10진수 97로, 특수 문자 !는 10진수 33으로 인코딩됩니다.
- 표를 보면 Backspace, Escape, Cancel, Space와 같은 제어 문자도 아스키 코드에 포함되어 있음
💡 코드 포인트(code point)
code point: 글자에 부여된 고유한 값- e.g. 아스키 문자 A의 코드 포인트는 65
- 쉬운 설명을 위해 코드 포인트라는 용어 대신 문자에 부여된 값, 문자에 부여된 코드라는 용어로 설명
아스키 코드는 간단하게 인코딩된다는 장점이 있지만, 단점도 있습니다.
- 한글을 표현할 수 없습니다.
- 한글뿐만 아니라 아스키 문자 집합 외의 문자, 특수문자도 표현할 수 없습니다.
- 근본적으로 아스키 문자 집합에 속한 문자들은 7비트로 표현하기에 128개보다 많은 문자를 표현못함
- 훗날 더 다양한 문자 표현을 위해 아스키 코드에 1비트를 추가한 8비트의 **확장 아스키(Extended ASCII)**가 등장
- 그럼에도 표현 가능한 문자의 수는 256개여서 턱없이 부족했습니다.
- 한국같은 비영어권 나라들은 자신들의 언어를 0과 1로 표현할 수 있는 고유 문자 집합과 인코딩 방식이 필요
- 이런 이유로 등장한 한글 인코딩 방식이 바로
EUC-KR입니다.
2.3 EUC-KR
한글 인코딩을 이해하려면 우선 한글의 특수성을 알아야 합니다. 알파벳을 쭉 이어 쓰면 단어가 되는 영어와는 달리, 한글은 각 음절 하나하나가 초성, 중성, 종성의 조합으로 이루어져 있습니다. 그래서 한글 인코딩에는 두 가지 방식, **완성형(한글 완성형 인코딩)**과 **조합형(한글 조합형 인코딩)**이 존재합니다.
완성형 인코딩 방식- 초성, 중성, 종성의 조합으로 이루어진 완성된 하나의 글자에 고유한 코드를 부여하는 인코딩 방식
- e.g. ‘가’는 1, ‘나’는 2, ‘다’는 3, 이런 식으로 인코딩하는 방식
조합형 인코딩 방식- 초성을 위한 비트열, 중성을 위한 비트열, 종성을 위한 비트열을 할당하여,
- 그것들의 조합으로 하나의 글자 코드를 완성하는 인코딩 방식
- 다시 말해 초성, 중성, 종성에 해당하는 코드를 합하여 하나의 글자 코드를 만드는 인코딩 방식

EUC-KR은 KS X 1001, KS X 1003이라는 문자 집합을 기반으로 하는 대표적인 완성형 인코딩 방식입니다.
즉, EUC-KR 인코딩은 초성, 중성, 종성이 모두 결합된 한글 단어에 2바이트 크기의 코드를 부여합니다.
KS X 1001, KS X 1003 문자 집합은 외울 필요가 없습니다.
한글 한 글자에 2바이트 코드가 부여된다고 했죠?
다시 말해, EUC-KR로 인코딩된 한글 한 글자를 표현하려면 16비트가 필요합니다.
그리고 16비트는 네 자리 16진수로 표현할 수 있습니다.
즉, EUC-KR로 인코딩된 한글은 네 자리 16진수로 나타낼 수 있습니다.

위 그림은 EUC-KR로 인코딩된 한글 일부를 나타냅니다.
‘가’의 경우 b0a0행의 두 번째 열인 b0a1로 인코딩되고,‘거’의 경우 b0c0행의 여섯 번째 열인 로 인코딩됩니다.
EUC-KR 인코딩 방식으로 총 2,350개 정도의 한글 단어를 표현할 수 있습니다. 아스키 코드보다 표현할 수 있는 문자가 많아졌지만, 사실 이는 모든 한글 조합을 표현할 수 있을 정도로 많은 양은 아닙니다. 그래서 문자 집합에 정의되지 않은 ‘뷁 ’같은 글자는 EUC-KR로 표현할 수 없습니다.
모든 한글을 표현할 수 없다는 사실은 때때로 크고 작은 문제를 유발합니다. EUC-KR 인코딩을 사용하는 웹사이트의 한글이 깨진다든지, EUC-KR 방식으로는 표현할 수 없는 이름으로 인해 은행, 학교 등에서 피해를 받는 사람이 생겨나기도 했습니다.
이러한 문제를 조금이나마 해결하기 위해 등장한 것이 마이크로소프트의 CP949(Code Page 949)입니다.
CP949는 EUC-KR의 확장된 버전으로, EUC-KR로는 표현할 수 없는 다양한 문자를 표현할 수 있습니다.
다만, 이마저도 한글 전체를 표현하기에 넉넉한 양은 아닙니다
2.4 유니코드와 UTF-8
- EUC-KR 인코딩 덕분에 한국어를 코드로 표현할 수 있게 되었습니다.
- 하지만 모든 한글을 표현할 수 없다는 한계가 있었죠.
- 더욱이 이렇게 언어별로 인코딩을 나라마다 해야 한다면,
- 다국어를 지원하는 프로그램을 만들 때 나라 언어의 인코딩을 모두 알아야 하는 번거로움이 있습니다.
- e.g. 한국어, 영어, 일본어, 중국어, 독일어를 지원하는 웹사이트가 있다면
- 이 웹사이트는 다섯 개 언어의 인코딩 방식을 모두 이해하고 지원해야 합니다.
그런데 만약 모든 나라 언어의 문자 집합과 인코딩 방식이 통일되어 있다면,
- 다시 말해 모든 언어를 아우르는 문자 집합과 통일된 표준 인코딩 방식이 있다면
- 언어별로 인코딩하는 수고로움을 덜 수 있을 겁니다.
- 그래서 등장한 것이
유니코드(unicode) 문자 집합입니다.- 유니코드 = 여러 나라의 문자를 광범위하게 표현할 수 있는 통일된 문자 집합
- 유니코드는 EUC-KR보다 훨씬 다양한 한글을 포함하며
- 대부분 나라의 문자, 특수문자, 화살표나 이모티콘까지도 코드로 표현할 수 있는 통일된 문자 집합입니다.
- 유니코드는 현대 문자를 표현할 때 가장 많이 사용되는 표준 문자 집합이며,
- 문자 인코딩 세계에서 매우 중요한 역할을 맡고 있습니다.
예시와 함께 학습해 봅시다. 유니코드 문자 집합에서 ‘한’과 ‘글’이라는 단어를 찾아 볼까요? 아래 링크에서 찾을 수 있습니다.
http://www.unicode.org/charts/PDF/UAC00.pdf

유니코드 문자 집합에서는 아스키 코드나 EUC-KR과 같이 각 문자마다 고유한 값이 부여됩니다. 예를 들어, ‘한’에 부여된 값은 , ‘글’에 부여된 값은 입니다.
💡 간혹 유니코드 글자에 부여된 값 앞에 U+D55C, U+AE00처럼 U+라는 문자열을 붙이기도 하는데, 이는 16진수로 유니코드를 표현할 때 사용하는 표기입니다.
아스키 코드나 EUC-KR은 글자에 부여된 값을 그대로 인코딩 값으로 삼았죠? 유니코드는 조금 다릅니다.
- 글자에 부여된 값 자체를 인코딩된 값으로 삼지 않고 이 값을 다양한 방법으로 인코딩합니다.
- 이런 인코딩 방법에는 크게 UTF-8, UTF-16, UTF-32 등이 있습니다.
- 요컨대 UTF-8, UTF-16, UTF-32는 유니코드 문자에 부여된 값을 인코딩하는 방식입니다.
💡 UTF는 Unicode Transformation Format의 약어로 유니코드를 인코딩하는 방법입니다.
가장 대중적인 UTF-8에 대해 알아보겠습니다. 인코딩하는 방식을 외우지 말고, 그저 문자가 0과 1로 어떻게 표현되는지 감상하는 기분으로 가볍게 읽으면 됩니다.
UTF-8은 통상 1바이트부터 4바이트까지의 인코딩 결과를 만들어 냅니다.
- 다시 말해 UTF-8로 인코딩한 값의 결과는 1바이트가 될 수도
- 2바이트, 3바이트, 4바이트가 될 수도 있습니다.
- UTF-8로 인코딩한 결과가 몇 바이트가 될지는 유니코드 문자에 부여된 값의 범위에 따라 결정됩니다.
다음 표를 볼까요?

- 유니코드 문자에 부여된 값의 범위가 0부터 까지는 1바이트로 표현
- 유니코드 문자에 부여된 값의 범위가 부터 까지는 2바이트로 표현
- 유니코드 문자에 부여된 값의 범위가 부터 까지는 3바이트로 표현
- 유니코드 문자에 부여된 값의 범위가 부터 까지는 4바이트로 표현
그렇다면 ‘한글’은 몇 바이트로 구성될까요? ‘한’에 부여된 값은 , ‘글’에 부여된 값은 이었죠? 두 글자 모두 와 사이에 있네요. 따라서 ‘한’과 ‘글’을 UTF-8로 인코딩하면 3바이트로 표현될 것을 예상할 수 있습니다.
다시 표를 봅시다. 3바이트로 인코딩된 값은 다음과 같은 형태를 띈다고 되어 있죠?

- 여기서
붉은색 X표가 있는 곳에 유니코드 문자에 부여된 고유한 값이 들어갑니다. - ‘한’과 ‘글’에 부여 된 값은 각각 , 였습니다.
- 이는 각각 이진수로 1101 0101 0101 1100, 1010 1110 0000 0000입니다.
따라서 UTF-8 방식으로 인코딩된 값은 다음과 같습니다. 이 수가 ‘한’ 과 ‘글’의 UTF-8 방식으로 인코딩한 결과입니다.
111101101 10010101 10011100(2)211101010 10111000 10000000(2)
지금까지 다양한 문자들을 0과 1로 표현하는 방법에 대해 알아보았습니다. 생각보다 간단하죠?
2.5 핵심 포인트
-
문자 집합은 컴퓨터가 인식할 수 있는 문자의 모음으로,
- 문자 집합에 속한 문자를 인코딩하여 0과 1로 표현할 수 있습니다.
-
아스키 문자 집합에 0부터 127까지의 수가 할당되어 아스키 코드로 인코딩됩니다.
-
EUC-KR은 한글을 2바이트 크기로 인코딩할 수 있는 완성형 인코딩 방식입니다.
-
유니코드는 여러 나라의 문자들을 광범위하게 표현할 수 있는 통일된 문자 집합이며, UTF-8, UTF-16, UTF-32는 유니코드 문자의 인코딩 방식입니다.
2.6 확인 문제
Q1 68쪽의 아스키 코드표를 참고하여 아래의 아스키 코드를 디코딩한 내용을 써 보세요.
1104 111 110 103 111 110 103 → ( )
Q2 다음 중 EUC-KR 인코딩에 대한 설명 중 옳지 않은 것을 고르세요.
- 한국어를 표현할 수 있는 인코딩 방식입니다.
- 조합형 인코딩 방식입니다.
- 하나의 완성된 한글 글자에 코드를 부여합니다.
- 모든 한글을 표현할 수 없습니다.
Q3 유니코드 문자 집합에서 ‘안’에 부여된 값은 , ‘녕’에 부여된 값은 입니다. ‘안녕’을 UTF-8로 인코딩한 값을 구해 보세요.

